儋州黎元笑佛先师親笔遗作

作者简介

 

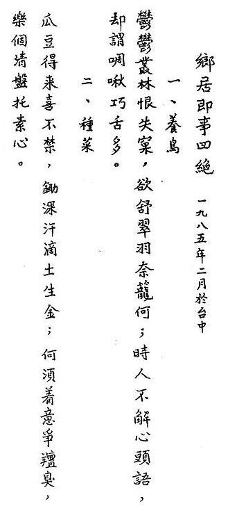
鄉居即事四絕 (1,2)

 

 

黎元笑佛

 

 

Copyright © 2005 - 2007 KHAIMINH.ORG  |  Website Disclaimer